Распределение хи-квадрат
Материал из MachineLearning.
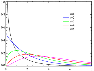
Плотность вероятности k - число степеней свободы | |
Функция распределения k - число степеней свободы | |
| Параметры | |
| Носитель | |
| Плотность вероятности | |
| Функция распределения | |
| Математическое ожидание | |
| Медиана | примерно |
| Мода | |
| Дисперсия | |
| Коэффициент асимметрии | |
| Коэффициент эксцесса | |
| Информационная энтропия |
|
| Производящая функция моментов | |
| Характеристическая функция | |
Распределение (хи-квадрат) с n степенями свободы — это распределение суммы квадратов n независимых стандартных нормальных случайных величин.
Определение
Пусть — совместно независимые стандартные нормальные случайные величины, то есть:
. Тогда случайная величина
имеет распределение хи-квадрат с n степенями свободы, обозначаемое .
Замечание. Распределение хи-квадрат является частным случаем Гамма распределения:
-
.
Следовательно, плотность распределения хи-квадрат имеет вид
-
,
а его функция распределения
-
,
где и
обозначают соответственно полную и неполную гамма-функции.
Свойства распределения хи-квадрат
- Распределение хи-квадрат устойчиво относительно суммирования. Если
независимы, и
, а
, то
-
.
- Из определения легко получить моменты распределения хи-квадрат. Если
, то
-
,
-
.
- В силу центральной предельной теоремы, при большом числе степеней свободы распределение случайной величины
может быть приближено нормальным
. Более точно
-
по распределению при
.
Связь с другими распределениями
- Если
независимые нормальные случайные величины, то есть:
, то случайная величина
имеет распределение хи-квадрат.
- Если
, то распределение хи-квадрат совпадает с экспоненциальным распределением:
-
.
- Если
и
, то случайная величина
имеет распределение Фишера со степенями свободы .
| | Данная статья является непроверенным учебным заданием.
До указанного срока статья не должна редактироваться другими участниками проекта MachineLearning.ru. По его окончании любой участник вправе исправить данную статью по своему усмотрению и удалить данное предупреждение, выводимое с помощью шаблона {{Задание}}. См. также методические указания по использованию Ресурса MachineLearning.ru в учебном процессе. |



